<span class="mw-page-title-main">Rahmani16a</span>
Fabrice P. Laussy's Web

Polaritonic Rabi and Josephson oscillations. A. Rahmani and F.P. Laussy in Sci. Rep. 6:28930 (2016).   What the paper says!?

In this text with Amir, who was then a visiting PhD student from Iran, we generalize Rabi and Josephson dynamics in the case of detuning, dissipation and with possibly different interaction strengths of the two condensates.

The Rabi regime is defined as having two fixed points for the dynamics (the lower and upper polaritons) which are centers, i.e., stable points around which trajectories form close orbits, while Josephson has four, one of them being a saddle point, the three other remaining centers. We find that features previously associated to the Josephson effect, like a running phase or self-trapping, can in fact be accounted in the pure Rabi (non-interacting) regime:

the same phenomenology that is usually attributed to Josephson dynamics is observed without interactions, that is, in the pure Rabi regime. This calls to reconsider what is meant, precisely, by Josephson and Rabi dynamics. We clarify this point below.

Our exact treatment finds that «although detuning can result in a Josephson-looking phenomenology, it actually makes this regime more difficult to reach, especially when caused by different interactions for the modes: $\nu_a\neq\nu_b$».

A Wolfram Mathematica applet (Demonstration) is available at

https://demonstrations.wolfram.com/RabiAndJosephsonOscillations

to produce the two types of dynamics on the Bloch sphere:

Our Hamiltonian reads:

which describes two weakly interacting condensates. We explain seemingly strange dynamics of the relative phase reported by Nina Voronova[1][2] even without interactions but in presence of detuning: the phase becomes strongly anharmonic and even freely-running, instead of oscillating. Here are some examples that we reproduce (a) without and (b) with decay of the populations:

After describing weird behaviours of such phase dynamics (like if populations cancel exactly there is a transition between oscillating and running phases):

These are mere statements of the facts. We will explain the reason for this peculiar behaviour in the follow ing and it will become clear that such an apparently rich phenomenology is in fact trivial and bears no connection to Rabi and Josephson dynamics.

The explanation is that Rabi oscillations should always be pictured on the Bloch sphere, where they are merely circles on the sphere. Their equation of motion is simply:

where $a_\theta$ and $b_\theta$ are the lower and upper $\theta$-polaritons, i.e., those that diagonalize the Hamiltonian for a given detuning (defined in Eqs. (18)).

the dynamics of the phase has no deep meaning of driving a flow of particles. Instead, it pertains to a choice of basis. The oscillating phase regime corresponds to a case where the basis of observables is too far apart from that which is natural for the system (eigenstates) and the tilt between their axes is so large that the phase is distorted into a qualitative different behaviour of oscillations instead of a linear drift.

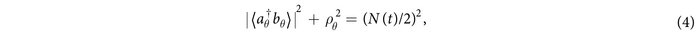
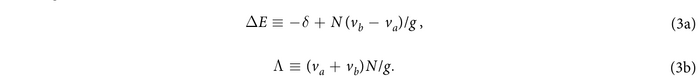
In a second part, we address the problem of defining a genuine Josephson dynamics, extending the analysis of Leggett which was at resonance (no detuning) and for equal nonlinearities of the $a$ and $b$ modes. This is done according to the number of fixed points for the trajectories: «there are two or four fixed points, and this is the criterion one can unambiguously use to define the Rabi and Josephson regimes, respectively.» We find that the «critical parameter that separates the Rabi from Josephson regimes in the mean-field approximation is thus:»

Not a pretty formula but one that separates Rabi from Josephson coupling in detuned systems with $\Delta E$ an effective detuning, taking into account different interaction strengths ($\delta$ is the usual detuning):

From this analysis,

One expects the Josephson regime to occur with increasing effective interaction (Λ). However, this is strongly countered by detuning ΔE, that tends to maintain the Rabi regime with a steep increase of the threshold.

This is the phase diagram of Rabi vs Josephson as a function of effective detuning and interactions:

The boundary between Rabi and Josephson is set by $\Lambda_\mathrm{c}$, wile $\Lambda_\phi$ is the boundary separating running (not-shaded) from oscillating (shaded) phase. One can see that this criterion is not a faithful one to separate J from R.

Our text thus largely invalidates the results of Nina, et al.[1] by showing that her phase dynamics does not have the meaning she attributes it, and is trivially explained on the good geometry.

We also studied the scenario with dissipation in detail, in which case there is a more complex dynamics. with transitions from the Josephson to Rabi regimes, and also the observed switches of phase dynamics (runnings vs oscillating), clearly explained as transitions from the case when the dynamics encircles or not the observable-axis. The Bloch sphere in this case becomes of time-varying radius, as the system looses particles, but its renormalization retains clear and robust features. We proposed a new name for this, the Paria sphere, which was justified in the text after the American ghost town because the underlying reality, the Bloch sphere, is not tangible, but appears to be definitely present and eerily accounting for all the observed phenomenology, that becomes very strange in the "real" world (of observables). The real Easter egg, however, is that this is also named after Amir's cherished daughter (what we don't mention in the text).

There is a nice introduction on the Josephson effect in the litterature, in particular highlighting key theory papers:

  1. Coherent dynamics and parametric instabilities of microcavity polaritons in double-well systems. D. Sarchi, I. Carusotto, M. Wouters and V. Savona in Phys. Rev. B 77:125324 (2008).
  2. Synchronized and desynchronized phases of coupled nonequilibrium exciton-polariton condensates. M. Wouters in Phys. Rev. B 77:121302(R) (2008).
  3. Josephson effects in condensates of excitons and exciton polaritons. I. A. Shelykh, D. D. Solnyshkov, G. Pavlovic and G. Malpuech in Phys. Rev. B 78:041302(R) (2008).

and experimental ones:

  1. Coherent Oscillations in an Exciton-Polariton Josephson Junction. K. G. Lagoudakis, B. Pietka, M. Wouters, R. André and B. Deveaud-Plédran in Phys. Rev. Lett. 105:120403 (2010).
  2. Macroscopic quantum self-trapping and Josephson oscillations of exciton polaritons. M. Abbarchi, A. Amo, V. G. Sala, D. D. Solnyshkov, H. Flayac, L. Ferrier, I. Sagnes, E. Galopin, A. Lemaître, G. Malpuech and J. Bloch in Nature Phys. 9:275 (2013).

See also Refs. [30-38].

Unfortunately, an oversight in the way I encode bibTeX keys, our Ref. 10 is cited as Ref. [3] instead of the intended Ref. [4]

References