<span class="mw-page-title-main">Doan08a</span>
Elena & Fabrice's Web
«can [one] really speak about a nonequilibrium BEC of polaritons or whether one has just realized another exciton laser.»

Coherence of condensed microcavity polaritons calculated within Boltzmann-Master equations. T. D. Doan, H. Thien Cao, D. B. Tran Thoai and H. Haug in Phys. Rev. B 78:205306 (2008).  What the paper says!?

In this paper, the Authors describe ODLRO and two-photon coherence of polariton BEC, going beyond Boltzmann equations. They find neat quantitative agreement for $g^{(1)}$ but not that good for $g^{(2)}$, although qualitatively the transition from thermal to coherent is captured. In the first part, the address the question

to which extent the observation of the spatial coherence [...] can be explained in terms of a semiclassical Boltzmann ki-

netics

and come to the conclusion that:

one can calculate directly the spatial variation in the first-order coherence function and its dependence on the pump power by using the distributions obtained from the

Boltzmann kinetics.

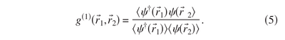
They compute «the first-order spatial coherence function defined as»

which they claim depends on the populations only ($b$ are the polariton operators):

This is, they say, «in the free-particle approximation», which is valid for Boltzmann equations but not for their later quantum extensions with which, by the way, they do not compute such quantities!

Their polariton-polariton Hamiltonian is (it is confusingly written, since $\vec{q}$ for instance is not defined):

They also show that their approach can deplete the condensate:

We include gain saturation and interactions

which deplete the condensate

They criticize Sarchi & Savona's strong depletion of the condensate[1] since their dynamics «give the observed off-diagonal spatial coherence, which leaves not much space to larger depletion effects.» Their calculations indeed agree well with Deng et al.[2]'s power dependence of $g^{(1)}(\Delta r)$ for fixed~$\Delta r$ (which they reproduce as Fig. 2). A better quantity, more difficult to obtain experimentally for large distances, is as a function of $\Delta r$, where, this time, they «see a more or less exponential decay of the coherence function»:

as indeed was observed experimentally (their Fig. (4)).

Then they turn to $g^{(2)}$ and how this varies with pumping, referring to experiments[3][4]. To compute it, they mention four possibilities:

  1. Langevin equations (used previously by Haug)
  2. Some Associate Fokker-Planck equation (unclear what this is, exactly, see their Ref. [14])
  3. My approach[5] based on the Boltzmann quantum master equations, which is the one they adopt.
  4. Schwendimann and Quattropani who include $g^{(2)}$ in the kinetic equations.[6]

This is how they describe my work:

The Yamamoto experiment[3] shows a slow decay of $g^{(2)}$ from less than 2 to more than 1. The QBME, on the other hand, predicts a fairly swift transition from 2 to 1, accompanying the condensation.

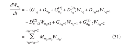
They call $W_{n_0}(t)$ what we call $p_{n_0}(t)$ the probability to have $n_0$ particles in the ground state:

The key point is that the rates now depend on $n_0$ a random variable as opposed to, previously, a mean value (so, really, $\langle n_0\rangle$).

The distributions they find as a function of pumping look like this:

We see how the thermal limit with $g^{(2)}$ = 2 and the coherent limit with $g^{(2)}$ = 1 are smoothly connected. The

transition takes place in the region of pump powers $P\approx2P_\mathrm{th}$.

But this is much more abrupt and a stonger effect than observed experiments, so they conclude:

It seems that other many-body effects have to be included in order to account for the differ-

ence between these experimental findings and the theory.

They include polariton-polariton interactions from Schwendimann & Quatropanni[6] which require Lorentzian instead of Dirac $\delta$ since these don't conserve energy. This also breaks detailed balance. That provides them with a counterpart of my phonon-induced QBME to include polariton-polariton relaxation:

They also «incorporate the saturation effect kinetically in the Master equation» (exciton bleaching and Mott transition), in Sec. VB.

They solve the master equation iteratively:

They obtain results (with, Fig. 10 or without, Fig. 9 below, saturation by exciton ionization) that they say match better with the experiment, but this is unclear, as they still observe a steep decrease but with an "oscillation" in the transition.

It's not quite clear what $\gamma$ is here, apparently the parameter in their Eq. (28).

They say that Sarchi et al.[7] is similar to their approach.

They make an approximation from Eq. (10) to (13) which is not explained or justified, although they linked them with a "thus" on unrelated processes which do not alter the populations.

There is some discussion on what defines the size of the system (spot size vs sample size).

References