<span class="mw-page-title-main">Sarchi07a</span>
Elena & Fabrice's Web

Long-range order in the Bose-Einstein condensation of polaritons. D. Sarchi and V. Savona in Phys. Rev. B 75:115326 (2007).  What the paper says!?

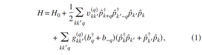
Savona and Sarchi provide a kinetic theory of interacting polaritons going beyond Boltzmann equations to describe polariton condensation, by including a hierarchy of density matrix equations truncated to «two-particle correlations between the condensate and the excitations» in the so-called Hartree-Fock-Bogoliubov approximation in the Popov approximation.[1] Namely, they derive a closed set of kinetic equations for the amplitudes the populations $N_c$ of the condensate, $\tilde N_k$ of the quantum fluctuations of the excited states, of two-body (four operators) quantum amplitudes $\tilde m_k$

where:

as well as the polariton density $n_x$ in the incoherent region (exciton reservoir), which are in equilibrium at a temperature obtained through Boltzmann equations, those being based on Porras et al.'s model.[2]

They break the dynamics between two types of polaritons, as is usual with Boltzmann equations:

A customary approximation consists in restricting the quantum kinetic treatment to the coherent region, while the dynamics within the incoherent region is modeled in terms of

a simple Boltzmann population kinetics

The relaxation takes place on «the actual HFB Popov spectrum $E_k$ [which] replaces the noninteracting single-particle spectrum.»

Their microscopic hamiltonian (with some details on the microscopic parameters)

is processed through a so-called "number-conserving approach" from Castin & Dum[3][4] which separates the condensate from the rest of the quantum gas in a typical beyond mean-field decomposition of the operator:

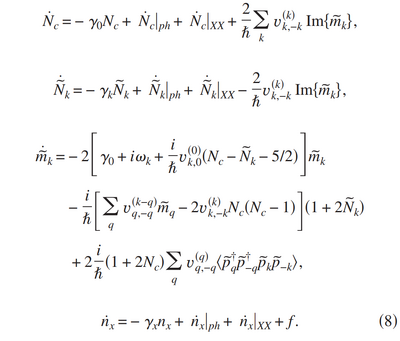
Their condensate is assumed uniform in a finite size square-shape system: $$P_k=e^{i\phi}\delta_{k,0}\,.$$ They obtain the following kinetic equations for the condensate population $N_c=\langle\ud{a}a\rangle$ and the excited states quantum fluctuations $\tilde N_k\equiv\langle\ud{\tilde p_k}\tilde p_k\rangle$:

The terms $N_c\big|_\mathrm{ph}$, etc., are the conventional Boltzmann equations (explicited in their Eqs. (11-14)) except that the dispersion is the HBF Popov one renormalized by the condensate, rather than the polariton dispersion, and the calculation of the spectrum of excitations is made:

by means of the Popov version of the Hartree-Fock-Bogolubov approximation (HFB Popov).

This, however, mainly affects what they all the coherent region (below inflection point) rather than their incoherent region (flat exciton-like dispersion) which remains the normal dispersion except «for the overall density-induced blueshift of the polariton branch».

They also assume decoupling of the quantum and semi-classical (Boltzmann) dynamics in terms of timescales:

the field dynamics of collective Bogolubov excitations takes place much faster than energy relaxation mechanisms, made slow by the steep polariton energy-momentum dispersion that reduces the space of final states available for scattering

processes.

And so:

We thus assume that, on the time scale of the relaxation, a quasistationary spectrum of collective Bogolubov excitations arises, that evolves adiabatically and is

computed self-consistently at each time step in the kinetics

Those are complex and not quite transparent equations, which they solve numerically. Besides, «In the equation for $\tilde m_k$, some simplifications were introduced.» Among others, this one:

This is a strange approximation on one of the few physically recognizable and characteristic quantum observables of the condensate, as it is related to $g^{(2)}$. This assumes a Fock state as opposed to a coherent state. If $N_c\gg1$, it is not clear why the $-1$ matters anyway. Their equations also involve «two-body correlation function between condensate excitations» which they further process in a cryptic and complicated procedure into:

It's not entirely clear how they obtain the Bogolubov modes $\alpha_k$.

This is a beyond-threshold theory as deviations are expected minimum below threshold, although in their conclusion they say that the depletion of the condensate occurs «already slightly above threshold»:

close to threshold, the polariton relaxation dynamics and the coherent scattering processes are expected to be

only marginally affected by the details of the spectrum because the populations in the condensate and in the low-lying

They assign themselves bizarre objectives, not to study the spectrum of excitations but how it affects the relaxation:

our present purpose is not to determine the exact spectrum of the collective multipole oscillations of the polariton gas close to the condensation threshold. It is rather to estimate how the density-dependent changes in the spectrum affect the relaxation dynamics and

the coherent scattering processes significantly above the condensation threshold, when ODLRO becomes detectable.

The results do not seem to be rewarding given the complexity of the model and of its treatment.

The solutions always display steady-state long-time values after an initial transient

Condensation grows qualitatively exactly as expected from other models. That interactions provide a negative feedback is not entirely surprising. They do find variations from the BE distribution:

Above threshold, the condensate population becomes macroscopic. Its growth for increasing [pumping] is, however suppressed by the corresponding increase of the population of

low-energy excitations. Consequently, the population distribution cannot be fitted by a Bose-Einstein function.

When they find something qualitative, like opposite roles of the interactions in different stages of the nucleation, this is hardly compelling:

we also notice that during the early stages of the condensate growth, the scattering processes favor condensation, through the positive values taken by $\operatorname{Im}(\tilde m_k)$. Immediately afterward, when a large condensate population is reached, the quantity $\operatorname{Im}(\tilde m_k)$ changes sign and

coherent scattering terms start depleting the condensate.

one hardly sees that however:

They compare their dynamical result to the «distribution computed for an equilibrium interacting Bose gas in the HFB Popov limit» and find that «the kinetic model predicts a larger condensate depletion.»

They also find linearization of the spectrum of excitation (their Fig. 3b):

the energy dispersion is modified by the presence of the condensate because of the two-body interaction,

displaying the linear Bogolubov spectrum of collective excitations at low momenta

But even this is not quite observable: «The plot shows that even at the highest pump intensity, this feature extends over an energy interval smaller than 0.5 meV, well within the measured spectral linewidth. Samples with a significantly smaller polariton linewidth (longer radiative lifetime) would therefore be needed in order to measure this distinctive feature of BEC.»

This seems to be primarily a finite-size effect, although it is unclear precisely why (beyond the fact that numerically they have higher condensate fraction for small areas):

Polariton condensation occurs thanks to the locally discrete nature of the energy spectrum induced either by artificial confinement or by disorder.

For the Authors, the key feature of BEC is ODLRO:

which they say is fulfilled in Kasprzak et al. paper:[5]

a direct measurement of the spatial correlation function in a II-VI semiconductor based microcavity14 provided a striking experimental signature of

polariton condensation with formation of ODLRO

and

this model predicts a dominant effect of quantum fluctuations that result in a significant condensate depletion under typical excitation conditions. In particular, we discuss the role of quantum confinement in a system of finite size and show how ODLRO manifests itself in typical experimental conditions. Our results provide a clear explanation of the

partial suppression of ODLRO that characterizes the experimental findings

The ODLRO is indeed straightforwardly measurable: «The quantity $g^{(1)}(r)$ could be easily accessed in an experiment in which the light emitted by different positions on the sample is made to interfere», with an «increase of the spatial correlation length as a signature of condensation» but «with a correlation staying below 0.5 because of quantum fluctuations, even far above the threshold». They, however, make little study of this quantity (Fig. 5b):

Some of their main results include:

  1. Quantum fluctuations deplete the condensate.
  2. They have a stronger effect than for atomic gases.
  3. The distribution differs from Bose-Einstein as well as from Popov.
  4. There is linearization of the spectrum of excitation.
  5. The steady-state condensate fraction decreases with sample area.
  6. Condensate is favoured by confinement as it relies on discretization of states around the condensate.
  7. The quantum coherent scattering decreases quickly with energy of the states so the mechanism mainly affects the states close to the condensate.

The first one is a bit strange as interactions should also decrease with sample area, and so should the depletion of the condensate so a non-interacting BEC should be eventually recovered. Instead, they claim that «Thermal and quantum fluctuations will eventually dominate in the thermodynamic limit of infinite size, resulting in a full condensate depletion, as required by the Hohenberg Mermin-Wagner theorem.»

This comment I don't understand:

Models assuming an initial population in the lower-energy part of the spectrum$^{15}$ can

instead treat the full spectrum consistently.

They also have a closely related work.[6]

References