<span class="mw-page-title-main">Delvalle16a</span>
Fabrice P. Laussy's Web

«We thank Valentina Notararigo, Alexandra Olaya-Castro [...] for bringing these issues to our attention.»

Erratum: Theory of Frequency-Filtered and Time-Resolved $N$-Photon Correlations [Phys. Rev. Lett.109, 183601 (2012)]. E. del Valle, A. Gonzalez-Tudela, F. Laussy, C. Tejedor and M. Hartmann in Phys. Rev. Lett. 116:249902 (2016).  What the paper says!?

This is an erratum on our paper on frequency-resolved $N$ photon correlations[1] that corrects minor mistakes which led to an incident with the group of A. Oyala Castro, who claimed that their failure to spot those mistakes were invalidating the full theory.

One error is that we wanted to use filter linewidths corresponding to the natural polaritonic decay rates $2\gamma_n=2\gamma_\sigma+4(n-1)\gamma_a$ but that when he put this formula into his computer, Alejandro used instead $2\gamma_n=2\gamma_\sigma+(4n-1)\gamma_a$, i.e., he swapped a parenthesis therefore using other filter linewidths. This has only minor quantitative impact but this prevented people to reproduce exactly the numerical results, which, of course, is a problem.

The other error is slightly more problematic as it omits to specify normal-ordering, i.e., it skips the : and $\mathcal{T}$ symbols, denoting normal and time ordering, in the main result:

If not using this expression, which is what we did throughout, you don't get physical results at non-zero time delays, so a competent reader would be able to understand time and normal ordering are implied. But it would, of course, be much better to not have such ambiguities.

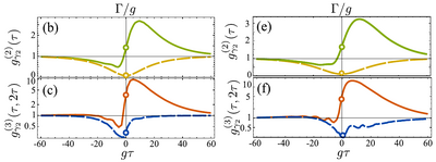
We have considered such order in all the calculations performed in the Letter [e.g., for Figs. 2(b) and 2(c)] and in all our subsequent papers based on this work. Therefore, none of our results, derivations, or analysis are affected by this omission. Besides, the lack of normal and time order in the calculations should lead to unphysical results (complex or negative values for $g^{(2)}$, etc).

Carlos Sánchez Muñoz and Juan Camilo López Carreño are thanked as they could not be Authors of the erratum, not being Authors of the first papers, but their contribution was positive, as they flawlessly reproduced Alejandro's numerical results with small deviations that were subsequently identified by Alejandro. In contrast, A. Oyala Castro and her students had unphysical results and were completely at loss on how to proceed from there, and turned aggressive when they realized that part of their problems originated from our paper. At all rates, the incident showed the robustness of excellent science, that can be reproduced beyond possible typos and minor mistakes, which get identified in such attempts. Not all scientific results go through such a drastic external stress.

References