<span class="mw-page-title-main">Theory of Frequency-Filtered and Time-Resolved N-Photon Correlations</span>
Elena & Fabrice's Web

Theory of Frequency-Filtered and Time-Resolved $N$-Photon Correlations. E. del Valle, A. González-Tudela, F. P. Laussy, C. Tejedor and M. J. Hartmann in Phys. Rev. Lett. 109:183601 (2012).   What the paper says!?

This is one pillar of our research activity. In 2009, I submitted a funding proposal nicknamed SQOD to bring to TUM (to Jonathan Finley's group) our activity on strong light-matter coupling in quantum dots.[1][2][3] Arne Laucht had made great use of it with J. M. Villas Bôas' addition of pure dephasing and I thought there were much to be done along those lines. One objective was to do frequency-filtered correlations, as depicted in Fig. 6 of the SQOD proposal:

Elena, on her own hand, had applied to a Humboldt Fellowship to the group of M. Hartmann so that we could move together from Southampton, where I was a post doc and where she was a Newton fellow.

We tried various approaches until she got the idea of what she called the sensor method, that consists in plugging two-level systems in vanishing coupling $\epsilon$ to the object whose emission is being monitored. Their signal vanishes as $\epsilon\to 0$ along with correlations with other sensors, but their ratio remains well-defined and, this is the main result, Elena showed that their limit recovers the exact frequency-resolved photon correlations as formalized in the theory of photon detection:

The left-hand side is the sought physical quantity, which is clear conceptually, and which had been written down in terms of high-dimensional, time-ordered integrals, that were formal results which could not be tackled in actual problems, not even the simplest ones. The right-hand side, on the other hand, is something that can be worked out even analytically in many instances and, at all rates, is extremely easy numerically, not even involving times if computing coincidences only. This is the correct result, fixing a typo in the original text (?!)The expression in the published 2012 lacks the explicit notation of normal-ordering and time-ordering, which is obviously implied and without which the results are unphysical.

This is the main result which is actually demonstrated in the Supplementary Material, not in the text itself. It would have been a considerable result if it was merely formulated, but Elena could actually establish it rigorously, which is not as hard as it may look, once you know it's doable.

This is also a very beautiful and simple one: multiphoton detection has to be modelled as a physical process: the free-energy of each two-level system provides the frequency at which the system is probed while their decay rate provides the frequency linewidth. Detectors have to be part of the picture. Making those parameters unphysical (zero or infinite) recover known textbook limits, that are thus merely limiting cases of the genuine quantities!

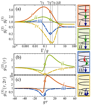
In this text, we applied the technique to the Jaynes-Cummings system, and at this stage, we didn't yet understand the main consequence of this exact theory, that it allows to explore beyond spectral peaks where, unknown to everybody at the time, are where the main quantum signal is to be found. So we computed things like this:

This is not uninteresting per se, but the most important use of the technique is for correlations away from the peaks. We already captured some of them, but they were not expected and anomalous, mysterious features were calling for troubles for publication, so I asked Alejandro, then a PhD student whom we had invited for a stay in Munich to develop and explore the model, I asked him to choose parameters where such features would not be prominent. Indeed he found cases where you only see something happening when there is a peak, and whatever was not accounted for in this way was a small wobble in the background:

To understand those, I later asked Alejandro to plot a full landscape of correlations, any frequency vs any frequency, and he came up with the first two-photon spectrum, discussed on its own page.

With this insight, the theory became considerably more important than even we appreciated, as it discloses new concepts. The paper still remains to be "discovered" and digested by the rest of the community, that still remains oblivious to its importance and to the multi-dimensional quantum spaces it unravels.

The advantages of our formalism are many:

  1. The computations are numerically exact: there are no approximations made such as those that people were compelled to make to get tractable integrals, but loosing in this way the most important phenomenology.
  2. The computations remain easy for general systems to any number of photons: one does not have to limit to two-photon only nor to resonance fluorescence.

A referee wanted to stress this last claim, and our exact three-photon correlations from the Jaynes-Cummings model—a considerable improvement on the approximate two-photon correlations from resonance fluorescence—were challenged to demonstrate a bigger break from the state of the art. In the Supplementary, we therefore computed all possible four-photon correlations from transitions in the nonlinear Jaynes-Cumming model. Not enlightning per se, but a sure demonstration of our capacity to do it... effortlessly.

Elena wanted Alejandro, the student, to be first Author, and she would be last Author, but the "head" of the group, the host of her fellowship, M. Hartmann, who did not contribute to the activity at all, did not accept that. He said that it was well within his area of research and that people would not understand why he wasn't the leading author, also that he was needing the visibility of a group leader for his own stabilization in Germany. His only actual contribution was to make us remove that photons with the same frequency would be detected with a bunching tendency, regardless of what quantum source was emitting them. He thought this was unphysical. At some point he discussed those results with someone who told him that the bunching of equal-frequency was a well-known effect in laser theory, and, without apologies, he informed us this was a trivial effect and that this could be put back. His overall attitude was a bit of a shock and some tension ensued, but the order was as he wanted it. He didn't fight for the next paper[4] that was as Elena wanted it for the PRL.

The paper also raised ugly problems with Alexandra Olaya-Castro, a former Ph.D student of Carlos Tejedor, who contacted us because she was interested in the theory and its applications for her biological business, but she was unable to reproduce it. We made a stay, on Elena's Newton fellowship money (not invited by Olaya-Castro) in London together with Camilo and Carlos Sánchez, who were our students of the time (Alejandro was then a post-doc with Cirac). There, Camilo and Carlos explained to the student V. Notararigo how to implement the code, clearing out as they did, a typo in the text where the notation for normal-order had dropped out. I probably was the culprit in stripping down to its most basic expression the idea that the complicated mathematical procedure reduced to a physical straightforward correlations between populations, overlooking in this process that correlations still need to be expressed in a valid way. This was readily explained to them but there was also another small mistake with parameters, due to Alejandro swapping parentheses somewhere and thus calculating (with the correctly-ordered expressions) results for slightly different cases. That was another "mistake" which concerned a lot the London people, who regarded, therefore, the whole treatment as invalid. On our way back to the hotel, we received an email informing us of their intention to write a comment, to provide the correct theory, arguing that our neglecting [which we didn't] commutation issues was providing the classical picture, and that they would provide the quantum picture. We didn't take it well, especially as we fixed the problems for them. So we argued on the next day that we would write an erratum,[5] thanking them there although they did nothing else but report their own difficulties that they couldn't clear out, and that we would reply to their comment in an antagonist way. They didn't write the comment.

References